考研论坛

 找回密码
 立即注册
查看: 92|回复: 0

2016考研数学中值定理考点分析及5大注意事项

[复制链接]

33万

主题

33万

帖子

100万

积分

论坛元老

Rank: 8Rank: 8

积分
1007237
发表于 2017-8-6 12:13:37 | 显示全部楼层 |阅读模式
中值定理是考研数学得分较低的一块,可以说是考生的“灾难区”,看到一个题目怎么思考处理是个问题,下面,新东方在线就带领考生具体来分析分析怎么搞定这个“灾难区”,大家好好学习。
        一、具体考点分析
    首先我们必须弄清楚这块证明需要的理论基础是什么,相当于我们的工具,那需要哪些工具呢?
    第一:闭区间连续函数的性质。
    最值定理:闭区间连续函数的必有最大值和最小值。
    推论:有界性(闭区间连续函数必有界)。
    介值定理:闭区间连续函数在最大值和最小值之间中任意一个数,都可以在区间上找到一点,使得这一点的函数值与之相对应。
    零点定理:闭区间连续函数,区间端点函数值符号相异,则区间内必有一点函数值为零。
    第二:微分中值定理(一个引理,三个定理)
    费马引理:函数f(x)在点ξ的某邻域U(ξ)内有定义,并且在ξ处可导,如果对于任意的x∈U(ξ),都有f(x)≤f(ξ) (或f(x)≥f(ξ)
),那么f'(ξ)=0。
    罗尔定理:如果函数f(x)满足:
    (1)在闭区间[a,b]上连续;
    (2)在开区间(a,b)内可导;
    在区间端点处的函数值相等,即f(a)=f(b),
    那么在(a,b)内至少有一点ξ(a

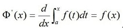
    第四:变限积分求导定理: 如果函数f(x)在区间[a,b]上连续,则积分变上限函数在[a,b]上具有导数,并且导数为:
   

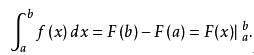
    第五:牛顿--莱布尼茨公式:如果函数f(x) 在区间[a,b] 上连续,并且存在原函数F(x) ,则
   

    以上定理要求理解并掌握定理内容和相应证明过程。
        二、注意事项
    针对上文中具体的考点,佟老师再给出几点注意事项,这几个注意事项也是在证明题中的“小信号”,希望大家理解清楚并掌握:
    1. 所有定理中只有介值定理和积分中值定理中的ξ所属区间是闭区间。
    2. 拉格朗日中值定理是函数f(x)与导函数f'(x)之间的桥梁。
    3. 积分中值定理是定积分与函数之间的桥梁。
    4.
罗尔定理和拉格朗日中值定理处理的对象是一个函数,而柯西中值定理处理的对象是两个函数,如果结论中有两个函数,形式与柯西中值定理的形式类似,这时就要想到我们的柯西中值定理。
    5. 积分中值定理的加强版若在定理证明中应用,必须先证明。
    其次对于中值定理证明一般分为两大类题型:第一应用罗尔定理证明,也可又分为两小类:证明结论简单型和复杂型,简单型一般有证明f'(ξ)=0,f'(ξ)=k
(k为任意常数),f'(ξ1)=g'(ξ2),f''(ξ)=0,f''(ξ)=g''(ξ),像这样的结论一般只需要找罗尔定理的条件就可以了,一般罗尔定理的前两个条件题目均告知,只是要需找两个不同点的函数值相等,需找此条件一般会运用闭区间连续函数的性质、积分中值定理、拉格朗日中值定理、极限的性质、导数的定义等知识点。复杂型就是结论比较复杂,需要建立辅助函数,再使辅助函数满足罗尔定理的条件。辅助函数的建立一般借助于解微分方程的思想。第二就是存在两个点使之满足某表达式。这样的题目一般利用拉格朗日中值定理和柯西中值定理,处理思想把结论中相同字母放到等是一侧首先处理。
    最后希望同学们仔细研究这块内容的历年真题,通过研究真正的把处理方法转化为自己的,祝大家考研成功!
回复

使用道具 举报

您需要登录后才可以回帖 登录 | 立即注册

本版积分规则

小黑屋|手机版|Archiver|新都网

GMT+8, 2025-10-9 03:59 , Processed in 0.070755 second(s), 14 queries , WinCache On.

Powered by Discuz! X3.4

© 2001-2017 Comsenz Inc.

快速回复 返回顶部 返回列表