考研论坛

 找回密码
 立即注册
查看: 88|回复: 0

2016考研数学三大题型特点分析

[复制链接]

33万

主题

33万

帖子

100万

积分

论坛元老

Rank: 8Rank: 8

积分
1007237
发表于 2017-8-6 12:10:41 | 显示全部楼层 |阅读模式
考研数学的试题特点是:注重三基,强调题目的综合性,突出能力的考查,因此题型不同,考查的侧重点也有所不同。下面把每种题型考查的能力和特点帮大家分析一下,希望对2016考研的同学有帮助。
    全国硕士研究生入学统一考试数学试卷共23道题,分为选择题、填空题、解答题,其中高数、线代、概率三科的考题分布情况如下:
    1--4(高等数学选择题) 5-6 (线性代数选择题)
    7--8 (概率统计选择题) 9--12 (高等数学填空题)
    13 (线性代数填空题) 14 (概率统计填空题)
    15--19 (高等数学解答题) 20--21 (线性代数解答题)
    22--23 (概率统计解答题)
    三大题型考查特点分析
    1. 单项选择题共8小题,每小题4分,共32分
    选择题主要考查大纲中要求的重要概念、公式、性质、定理和法则,考查你的判断能力、推理能力和基本计算能力,例如:
   

    本题考查的是渐近线的求法,考查大家的判断和基本计算能力。
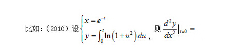
    2.填空题共6小题,每小题4分,共24分
    填空题主要考查基本计算能力,一般2-3个知识点的综合。考查对基本计算的熟练性、方法性最后落实到准确性,追求的是速度和准确度。
   

    考查的就是参数方程确定的函数的二阶导数的计算,主要考查大家的是基本计算能力。
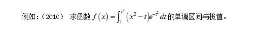
    3. 解答题(包括证明题)共 9小题, 94分
    解答题主要考查大家的计算能力、逻辑推理能力、综合能力、空间想象能力以及运用所学知识解决实际问题的能力。在做解答题时大家要注意一下几个方面:
    (1)步骤要写在卷面上,要注意解题步骤,分步得分,第一步要对。
    (2)难度:"中和上"中:上的比例7:2,上等难度的题目一般就两道,研究生考试是选拔性的考试,这就要求研究生考试命题不能出偏题怪题,一般上等难度的题主要体现内容是涉及到跨多章节的综合题,考点是多个知识点,综合性强了难度也就上去了,另外一种体现就是证明题和应用题。
   

    本题主要考查的是一元函数极值的求法,但是在求极值的过程中涉及到积分上限函数求导、定积分的性质等知识点,是一道综合题,主要考查大家的计算能力和综合能力。
    了解了考研数学试卷的题型结构和考查的侧重点,对大家的复习可以达到一个事半功倍的效果,最后祝大家考研成功!
回复

使用道具 举报

您需要登录后才可以回帖 登录 | 立即注册

本版积分规则

小黑屋|手机版|Archiver|新都网

GMT+8, 2025-10-10 16:46 , Processed in 0.047455 second(s), 8 queries , WinCache On.

Powered by Discuz! X3.4

© 2001-2017 Comsenz Inc.

快速回复 返回顶部 返回列表