考研论坛

 找回密码
 立即注册
查看: 358|回复: 0

2016考研数学三重积分的计算介绍(一)

[复制链接]

2万

主题

2万

帖子

8万

积分

论坛元老

Rank: 8Rank: 8

积分
87561
发表于 2016-6-26 12:48:12 | 显示全部楼层 |阅读模式
  三重积分的计算这部分,数一考生复习即可。对于这一部分,历年考试一般会出大题计算题,会和曲面积分或者重积分的应用相结合,所以同学们一定要好好复习。对于2016年考研的考生而言,在考研之前,这一部分的计算题目一定要练上几道题。
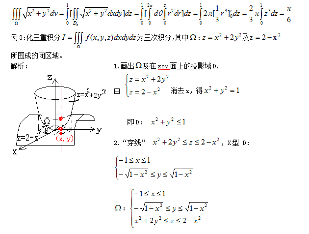
  三重积分的计算方法包括:直角坐标下的投影法和截面法,柱坐标法,球坐标法。下面文都老师先从第一个方法来介绍。










  三重积分的一般计算方法就是投影法和截面法,这两个方法同学们要熟练掌握,关键
  是要把常见的几何体的图形化出来。有的时候,也可以利用三重积分的对称性可以简便运算。以上是文都考研数学老师总结的一些东西,希望对同学们有所帮助。
回复

使用道具 举报

您需要登录后才可以回帖 登录 | 立即注册

本版积分规则

小黑屋|手机版|Archiver|新都网

GMT+8, 2025-10-19 23:21 , Processed in 0.036246 second(s), 8 queries , WinCache On.

Powered by Discuz! X3.4

© 2001-2017 Comsenz Inc.

快速回复 返回顶部 返回列表