考研论坛

 找回密码
 立即注册
查看: 337|回复: 0

2016考研数学:巧用定积分中两个重要的公式解题

[复制链接]

2万

主题

2万

帖子

8万

积分

论坛元老

Rank: 8Rank: 8

积分
87561
发表于 2016-6-26 12:48:05 | 显示全部楼层 |阅读模式
  在《高等数学》定积分部分有两个计算公式,虽然结论只出现在例题中,但为后续的解题带来很大的方便,因此有必要熟记这两个公式,以便在考研数学中节省宝贵时间,更加胸有成竹.
  这两个公式如下:



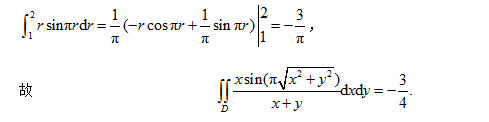
  本题是2014年考研数学二和数学三的真题,在解题过程中用到了公式②,使得解题过程变得更为简洁准确率提高,而且节省了解题时间,这在考试中是至关重要的.
  上述例1和例2在解题过程中应用公式①、公式②来计算定积分,使得看似复杂的题目可以迎刃而解. 因此,掌握这两个公式也是十分必要的. 著名数学家华罗庚把读书的过程归纳为:“由薄到厚”与“由厚到薄”两个阶段,考研数学的复习过程也是如此. 前期的基础复习阶段就是“由薄到厚”的过程,冲刺阶段则是“由厚到薄”的过程,只要考生认真复习,善于总结将各个章节不同的知识点用自己的方式加以总结和整理,在考研过程中必将从容应对,取得理想成绩.
回复

使用道具 举报

您需要登录后才可以回帖 登录 | 立即注册

本版积分规则

小黑屋|手机版|Archiver|新都网

GMT+8, 2025-12-22 08:15 , Processed in 0.050121 second(s), 8 queries , WinCache On.

Powered by Discuz! X3.4

© 2001-2017 Comsenz Inc.

快速回复 返回顶部 返回列表