考研论坛

 找回密码
 立即注册
查看: 325|回复: 0

2014考研数学真题解析·极限部分

[复制链接]

2万

主题

2万

帖子

8万

积分

论坛元老

Rank: 8Rank: 8

积分
87561
发表于 2016-6-26 12:48:02 | 显示全部楼层 |阅读模式

  
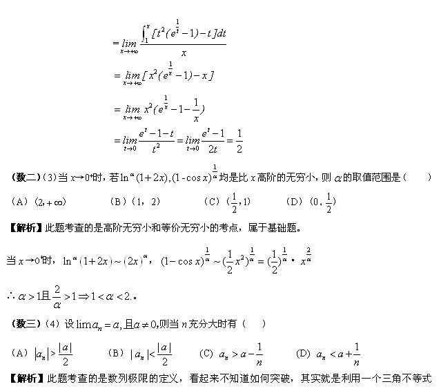
  高数在考研数学真题中占据着重要的位置,在150分的考题中,高数在数一和数三占取82分的分值,高数在数二中占取116分的分值,而极限是贯穿高数的一个工具,是高数的基础,很多老师都说学好极限是学好高数的前提。由于极限的重要地位,使得极限是每年必考的知识点。
  常考的题型有:
  1) 直接计算各种极限;
  2) 利用准则证明极限的存在性,并求极限;
  3) 极限的局部逆问题,即给定极限值,反过来确定式子中的常数;
  4) 无穷小量阶的比较和确定,能够确定谁是更高阶的无穷小量、阶数是多少;
  5) 讨论函数的连续性,能够找到间断点,并判断间断点的类型;
  6) 求函数的渐近线;
  7) 利用洛必达法则求未定式极限,经常和变上限函数结合;
  8) 重视导数的定义、定积分的定义和极限的联系;
  9) 极限的定义;
  下面文都教育老师来解析一下今年高数中关于极限的题目。




  通过解析这5道题目,同学们发现题目本身并不难,解题过程中用到的知识点我们也都知道,是什么原因导致题目失分呢?这是2015学生需要深思的一个问题。这是老师给予2015的学员的一个建议,在平时复习中一定要深刻理解每一个知识点,对于它的定义、性质及常用它解决题目的方法一定要掌握,这样做题的时候才能游刃有余。
回复

使用道具 举报

您需要登录后才可以回帖 登录 | 立即注册

本版积分规则

小黑屋|手机版|Archiver|新都网

GMT+8, 2025-12-22 15:00 , Processed in 0.037248 second(s), 8 queries , WinCache On.

Powered by Discuz! X3.4

© 2001-2017 Comsenz Inc.

快速回复 返回顶部 返回列表