考研论坛

 找回密码
 立即注册
查看: 294|回复: 0

高等数学重要知识点解析:曲线积分和曲面积分

[复制链接]

2万

主题

2万

帖子

8万

积分

论坛元老

Rank: 8Rank: 8

积分
87561
发表于 2016-6-26 12:48:01 | 显示全部楼层 |阅读模式
  
  曲线积分和曲面积分是考研数学一考试的重点,每年必考,经常以解答题的形式考查,其中对坐标的曲线积分、对坐标的曲面积分考查最多,第一类曲线积分和第一类曲面积分通常以客观题的形式出现。
  2014年以填空题形式考查了第一类曲线积分,同时在解答题中考查了第二类曲面积分的计算。
  2013年以选择题形式考查了第二类曲线积分。
  2012年以填空题形式考查了第一类曲面积分,同时在解答题中考查了第二类曲线积分的计算。
  第一类曲线积分的计算主要是利用参数方程转化为定积分,第二类曲线积分的计算除了利用参数方程进行求解,还有一个考试的重点方法是利用格林公式,这是考试的重点。利用格林公式时,一定要注意格林公式的条件。若积分曲线不是封闭曲线,需要添加辅助曲线构成封闭曲线;若围成的区域含有奇点,则需要挖掉奇点;若封闭曲线不是正向边界曲线,则需要出现负号。
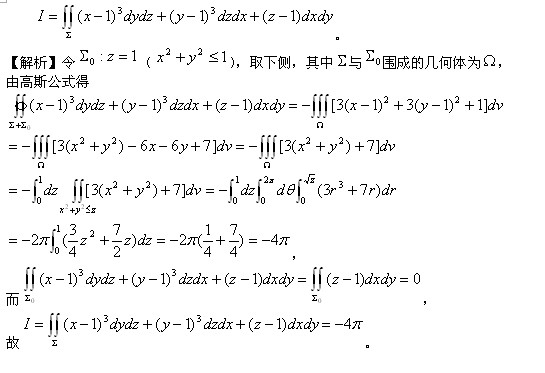
  第一类曲面积分的计算主要是转化为二重积分来计算,第二类曲面积分除了转化为二重积分(注意方向),还有一个重要的方法是利用高斯公式。利用高斯公式时,一定要注意高斯公式的条件。若积分曲面不是封闭的,需要添加辅助曲面构成封闭曲面;曲面闭合有奇点,加圈;若曲面方向取内侧,需要加负号。下面看一下今年的真题及解析,体会一下曲线、曲面积分的计算方法.

回复

使用道具 举报

您需要登录后才可以回帖 登录 | 立即注册

本版积分规则

小黑屋|手机版|Archiver|新都网

GMT+8, 2025-12-22 19:05 , Processed in 0.062249 second(s), 7 queries , WinCache On.

Powered by Discuz! X3.4

© 2001-2017 Comsenz Inc.

快速回复 返回顶部 返回列表