考研论坛

 找回密码
 立即注册
查看: 356|回复: 0

2016考研数学复习之抽样分布及参数估计

[复制链接]

2万

主题

2万

帖子

8万

积分

论坛元老

Rank: 8Rank: 8

积分
87561
发表于 2016-6-26 12:48:00 | 显示全部楼层 |阅读模式
  根据往年考研数学真题,本节是概率论与数理统计会出第二道大题的地方,也可能还会再出一道填空或者选择题,分值在14分左右,一道是数理统计的题目,另外一道是参数估计的题目,考试题型固定,2016考研数学,一定也会再出一道大题和一道小题,希望同学们好好复习本节。主要内容有以下几方面。
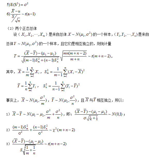
  一、数理统计的基本概念











  上是本节的主要内容,在计算方面,比较容易出错的地方是求似然函数的时候,表达是容易写错。另外,距估计如果有两个参数,需要用到二阶原点矩,考研数学大纲要求不超过两个。希望以上内容对2016考研的同学们有所帮助。
回复

使用道具 举报

您需要登录后才可以回帖 登录 | 立即注册

本版积分规则

小黑屋|手机版|Archiver|新都网

GMT+8, 2025-12-22 13:15 , Processed in 0.038346 second(s), 8 queries , WinCache On.

Powered by Discuz! X3.4

© 2001-2017 Comsenz Inc.

快速回复 返回顶部 返回列表