考研论坛

 找回密码
 立即注册
查看: 409|回复: 0

2014考研数学真题分析之二重积分

[复制链接]

2万

主题

2万

帖子

8万

积分

论坛元老

Rank: 8Rank: 8

积分
87561
发表于 2016-6-26 12:47:58 | 显示全部楼层 |阅读模式

  
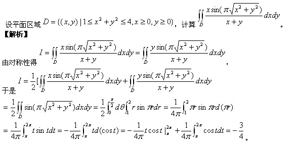
  二重积分部分重点考察交换积分次序、交换坐标系、二重积分的计算等题型。二重积分几乎是数一、数二、数三每年必考的题目,今年也不例外。以下以今年的考研数学真题为例:
  如:
  数学一选择题(3)

  数一/数二/数三大题



  二重积分计算的基本方法包括直角坐标系下的计算与极坐标下的计算。化二重积分为累次积分的步骤如下:
  (1)画图
  (2)定类型,即看D是X型还是Y型或都不是
  (3)将二重积分转化为累次积分,计算两次定积分。
  注意:若积分区域(或分块后)关于X轴,Y轴,

对陈,要善于利用二重积分的对称性和轮换对称性简化计算。
回复

使用道具 举报

您需要登录后才可以回帖 登录 | 立即注册

本版积分规则

小黑屋|手机版|Archiver|新都网

GMT+8, 2026-5-12 12:50 , Processed in 0.041167 second(s), 13 queries , WinCache On.

Powered by Discuz! X3.4

© 2001-2017 Comsenz Inc.

快速回复 返回顶部 返回列表