考研论坛

 找回密码
 立即注册
查看: 297|回复: 0

2016考研数学:矩阵多项式的特征值计算技巧

[复制链接]

2万

主题

2万

帖子

8万

积分

论坛元老

Rank: 8Rank: 8

积分
87561
发表于 2016-6-26 12:47:53 | 显示全部楼层 |阅读模式
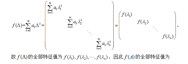
  特征值和特征向量是考研数学中线性部分的重要考点,每年必考,因此各位考生对其性质和计算方法一定要熟练掌握。关于特征值的计算,其方法有多种,包括根据特征值的定义计算、由特征多项式计算、根据特征值的性质计算等,在这里要向大家介绍的是如何计算矩阵多项式的特征值,这个问题被很多同学忽视了,但该问题在2016考研数学试卷中有可能出现,因此在此做些分析说明,供大家参考。
  一、矩阵多项式的特征值计算技巧





回复

使用道具 举报

您需要登录后才可以回帖 登录 | 立即注册

本版积分规则

小黑屋|手机版|Archiver|新都网

GMT+8, 2025-12-22 19:20 , Processed in 0.053103 second(s), 8 queries , WinCache On.

Powered by Discuz! X3.4

© 2001-2017 Comsenz Inc.

快速回复 返回顶部 返回列表