考研论坛

 找回密码
 立即注册
查看: 577|回复: 0

考研数学分段函数的定积分解题方法总结

[复制链接]

2万

主题

2万

帖子

8万

积分

论坛元老

Rank: 8Rank: 8

积分
87561
发表于 2016-6-26 12:47:53 | 显示全部楼层 |阅读模式


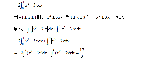
  上述两例,分别以典型分段函数和含绝对值的函数为被积函数为例,说明分段函数如何进行定积分的计算. 在实际的复习过程中,考生将会发现除此之外,

  本文以分段函数的定积分为例列举了一些可以转化为分段函数求定积分的函数,在复习过程中要特别注意这类题目的求解,充分掌握分段函数的定积分求解方法,这类题目便可迎刃而解. 相关题目可参考毛纲源老师编著的《考研数学客观题简化求解》系列参考书,书中总结的一些独具一格的解题技巧和方法定会让考生受到极大启发,在复习过程中轻松有效地掌握考试知识点,达到考研要求,最后取得理想成绩.
回复

使用道具 举报

您需要登录后才可以回帖 登录 | 立即注册

本版积分规则

小黑屋|手机版|Archiver|新都网

GMT+8, 2025-12-22 19:22 , Processed in 0.053420 second(s), 7 queries , WinCache On.

Powered by Discuz! X3.4

© 2001-2017 Comsenz Inc.

快速回复 返回顶部 返回列表