考研论坛

 找回密码
 立即注册
查看: 380|回复: 1

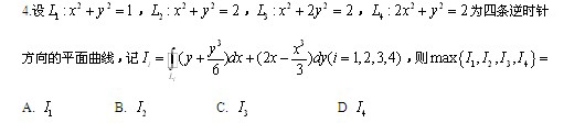
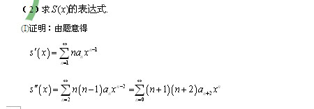
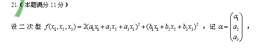
2013硕士研究生入学考试数学一真题及解析

[复制链接]

2万

主题

2万

帖子

8万

积分

论坛元老

Rank: 8Rank: 8

积分
87561
发表于 2016-6-26 12:47:41 | 显示全部楼层 |阅读模式


下载: 2013硕士研究生入学考试数学一真题及解析
回复

使用道具 举报

0

主题

7708

帖子

1万

积分

论坛元老

Rank: 8Rank: 8

积分
16188
发表于 2016-6-26 13:43:08 | 显示全部楼层




下载: 2013硕士研究生入学考试数学一真题及解析


                     

下载: 2013硕士研究生入学考试数学一真题及解析



下载: 2013硕士研究生入学考试数学一真题及解析

下载: 2013硕士研究生入学考试数学一真题及解析



下载: 2013硕士研究生入学考试数学一真题及解析


回复 支持 反对

使用道具 举报

您需要登录后才可以回帖 登录 | 立即注册

本版积分规则

小黑屋|手机版|Archiver|新都网

GMT+8, 2025-12-22 07:06 , Processed in 0.040528 second(s), 8 queries , WinCache On.

Powered by Discuz! X3.4

© 2001-2017 Comsenz Inc.

快速回复 返回顶部 返回列表