考研论坛

 找回密码
 立即注册
查看: 326|回复: 0

积分上限函数在考研数学中的考察

[复制链接]

2万

主题

2万

帖子

8万

积分

论坛元老

Rank: 8Rank: 8

积分
87561
发表于 2016-6-26 12:47:39 | 显示全部楼层 |阅读模式
  积分上限函数是考研数学的一个高频考点,经常和求极限、求导数、求解微分方程一起以综合题的形式出现。文都考研数学老师分析归纳积分上限函数相关知识希望对学员有所帮助。
  一、知识回顾
  1.积分上限函数

  二、典型例题分析
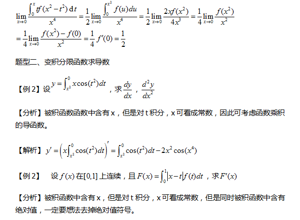
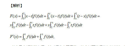
  题型一、积分上限函数求极限



  以上是文都考研数学老师,针对积分上限函数,结合例题进行的归纳总结,希望2016年考研的学员熟练掌握。
回复

使用道具 举报

您需要登录后才可以回帖 登录 | 立即注册

本版积分规则

小黑屋|手机版|Archiver|新都网

GMT+8, 2025-12-13 20:20 , Processed in 0.048094 second(s), 7 queries , WinCache On.

Powered by Discuz! X3.4

© 2001-2017 Comsenz Inc.

快速回复 返回顶部 返回列表