考研论坛

 找回密码
 立即注册
查看: 409|回复: 0

2016考研数学:从两个例题体会三角函数求极限的灵活性

[复制链接]

2万

主题

2万

帖子

8万

积分

论坛元老

Rank: 8Rank: 8

积分
87561
发表于 2016-6-26 12:47:36 | 显示全部楼层 |阅读模式
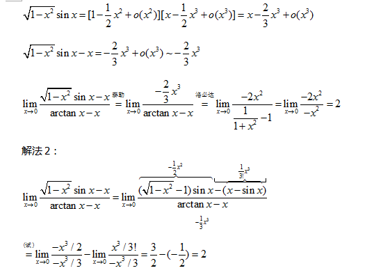
  求函数极限是考研数学的一个高频考点,求解时最常用的方法是洛必达法则和泰勒公式,2016年考研的同学一定要熟练掌握。对于三角函数求极限,除了用这两个基本工具还可以借助三角函数的公式对表达式进行变形,从而找出最简洁的解法。文都考研数学老师从两个例题入手,让大家体会体会三角函数求极限的灵活性,进而熟记常用公式。
  典型例题分析

  解法1:(用泰勒、洛必达)

  以上是文都考研数学老师,结合两个典型例题,用洛必达法则和泰勒公式求解函数极限,希望2016考研的同学们熟练掌握。
回复

使用道具 举报

您需要登录后才可以回帖 登录 | 立即注册

本版积分规则

小黑屋|手机版|Archiver|新都网

GMT+8, 2025-12-22 15:00 , Processed in 0.057417 second(s), 7 queries , WinCache On.

Powered by Discuz! X3.4

© 2001-2017 Comsenz Inc.

快速回复 返回顶部 返回列表