考研论坛

 找回密码
 立即注册
查看: 412|回复: 0

2016考研数学复习之幂级数

[复制链接]

2万

主题

2万

帖子

8万

积分

论坛元老

Rank: 8Rank: 8

积分
87561
发表于 2016-6-26 12:47:34 | 显示全部楼层 |阅读模式
  级数部分在考研数学当中应用比较广的是第二部分-幂级数。幂级数和前面讲过的泰勒公式一样,看似复杂,其实就是很简单的运算问题。根据以往考研数学真题来看,每年几乎都会出关于幂级数的题目,所以这一部分在本章中是重点。下面,文都考研数学老师将幂级数这一部分的知识点总结如下。
  幂级数
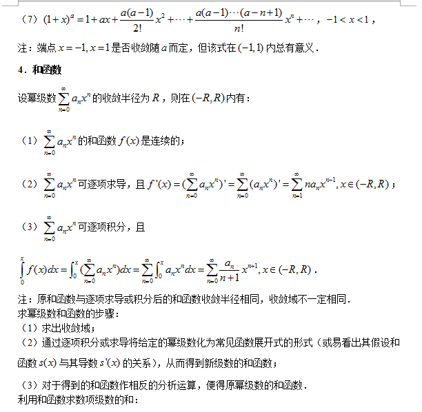
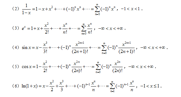
  1.概念和性质


















  以上是文都考研数学老师总结的所有2016考研数学高数当中级数部分的知识点,级数部分知识比较系统,相对也比较好复习,所以,只要同学们好好复习,这一部分的分数,在考试当中一般不会丢失,希望以上内容对大家有所帮助。
回复

使用道具 举报

您需要登录后才可以回帖 登录 | 立即注册

本版积分规则

小黑屋|手机版|Archiver|新都网

GMT+8, 2025-12-13 19:27 , Processed in 0.047613 second(s), 8 queries , WinCache On.

Powered by Discuz! X3.4

© 2001-2017 Comsenz Inc.

快速回复 返回顶部 返回列表